【悲報】トランプ関税、”課題を読んでない学生”並みの計算ミスまみれだったw w w w w w
【悲報】トランプ関税、”課題を読んでない学生”並みの計算ミスまみれだったw w w w w w
転載元: https://nova.5ch.net/test/read.cgi/livegalileo/1744089134/

1: それでも動く名無し 2025/04/08(火) 14:12:14.59 ID:wA9Or0gP0
トランプ関税の税率計算式について批判相次ぐ 正しく計算すると日本は24%ではなく10%?
https://news.yahoo.co.jp/articles/aeb12a31ef6c77d3b098254b5c4302bb5360f51c
2: それでも動く名無し 2025/04/08(火) 14:12:31.73 ID:wA9Or0gP0
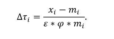
アメリカのシンクタンク、アメリカンエンタープライズ公共政策研究所は4日、「関税の計算式は間違いに基づいていて経済的に意味をなさない」と批判。
さらに、この計算式を真剣に受け止めたとしても、分母に設定された関税に対する輸入価格の弾力性を表す数字が誤っていると指摘しました。
これを修正して再計算すると日本の24%の関税は10%に、レソトの50%は13.2%、カンボジアの49%は13.0%、中国の34%は10%になるとしています。
3: それでも動く名無し 2025/04/08(火) 14:12:50.02 ID:wA9Or0gP0
計算式については、ノーベル経済学賞を受賞した経済学者、ポール・クルーグマン氏も「問題がありすぎて、どこから始めれば良いか分からない」とした上で、計算式に関するUSTRの説明については、「課題図書を読んでない学生が試験を乗り切ろうとして書いた、たわごとのようだ」と表現しています。
15: それでも動く名無し 2025/04/08(火) 14:15:07.15 ID:vnVXFpvN0
>>3
ボロクソで草
ボロクソで草

